GpY0GpGiTfdpGSW5TSCoTfz6Gi==

Dilasi waktu

Font size
Print 0
Fakta bahwa pengamat dalam kerangka inersia yang berbeda selalu mengukur interval waktu yang berbeda antara sepasang peristiwa dapat diilustrasikan dengan cara lain dengan mempertimbangkan kendaraan bergerak ke kanan dengan kecepatan v, seperti pada Gambar 1a. 
Gambar 1; (a) Gerak menurut kerangka O', (b) gerak menurut kerangka O

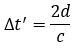
Sebuah cermin dipasang tetap di langit-langit kendaraan, dan pengamat O’, saat diam dalam sistem ini, memegang laser pada jarak d di bawah cermin. Laser memancarkan pulsa cahaya yang diarahkan cermin (peristiwa 1), dan pada beberapa waktu kemudian, setelah dipantulkan dari cermin, pulsa cahaya tiba kembali di laser (peristiwa 2). Pengamat O‘ membawa jam C, yang ia gunakan untuk mengukur interval waktu ∆t’ antara kedua peristiwa. Karena pulsa cahaya memiliki kecepatan sebesar c, waktu yang dibutuhkan untuk perjalanan dari O’ ke cermin dan kembali lagi dapat ditemukan dari definisi kecepatan:
Interval waktu ∆t’, diukur oleh pengamat O’, yang membawa jam C dari kerangka acuan yang bergerak dengan kecepatan v.
Sekarang perhatikan peristiwa yang sama seperti yang dilihat oleh pengamat O dalam kerangka acuan kedua (Gambar. 1b). Menurut pengamat O (kerangka acuan inersial/ kerangka acuan yang diam), cermin dan laser yang pindah ke kanan dengan kecepatan v, dan sebagai hasilnya, urutan kejadian yang muncul berbeda untuk Pengamat O. Pada saat cahaya dari laser mencapai cermin, cermin telah pindah ke kanan jarak v∆t/2, di mana ∆t adalah interval waktu yang diperlukan pulsa cahaya untuk berpindah dari O ke cermin dan kembali yang diukur dengan O. Dengan kata lain, O menyimpulkan bahwa, karena gerakan kendaraan, jika pulsa cahaya sampai ke cermin, pulsa cahaya harus meninggalkan laser pada sudut tertentu terhadap arah vertikal. Membandingkan gambar 1.a dan 1.b, kita melihat bahwa cahaya melakukan perjalanan lebih jauh di (b) dari pada di (a). (Perhatikan bahwa setiap pengamat tidak tahu bahwa dia sedang bergerak. Setiap pengamat diam di dalam kerangka inersianya sendiri.)
Gambar 2
Menurut postulat kedua relativitas khusus, baik pengamat O dan O’ harus mengukur kecepatan cahaya c yang sama. Karena cahaya berpindah lebih jauh menurut pengamat O, maka ∆t, interval waktu yang diukur oleh O lebih panjang dari interval waktu ∆t’ diukur oleh pengamat O’. Untuk mendapatkan hubungan antara ∆t dan ∆t’, lebih mudah menggunakan segitiga siku-siku yang ditunjukkan pada gambar 2. Teorema phytagoras memberikan
 
Pecahkan untuk mendapatkan 
 

Karena
Maka
di mana γ = (1 – v2/c2)-1/2. Karena γ selalu lebih besar dari satu, jadi, menurut pengamat di O jam yang ada di O’ tampak lebih lambat (seolah-olah waktu memuai atau mulur). Efek ini dikenal sebagai dilasi waktu (pemuaian waktu). Interval waktu ∆t’ pada persamaan di atas disebut waktu yang sesungguhnya (proper time). Secara umum, waktu yang sesungguhnya, dilambangkan tp, didefinisikan sebagai interval waktu antara dua Peristiwa yang diukur oleh pengamat yang melihat peristiwa terjadi pada titik yang sama dalam ruang. Dalam kasus kami, pengamat O’ mengukur waktu yang tepat/sesungguhnya. Artinya, waktu yang tepat/sesungguhnya adalah waktu yang selalu diukur oleh pengamat bergerak bersama dengan jam. Maka persamaan di atas dapat ditulis sebagai
Dilasi waktu adalah fenomena yang sangat nyata yang telah diverifikasi oleh berbagai eksperimen. Misalnya, muon, partikel dasar yang tidak stabil yang memiliki muatan sama dengan elektron dan massa 207 kali dari elektron. 
Gambar 3
Muon secara alami diproduksi oleh tabrakan radiasi kosmik dengan atom di ketinggian beberapa ribu meter di atas permukaan Bumi. Muon memiliki umur hidup hanya 2,2 μs ketika diukur dalam kerangka acuan yang diam terhadap mereka. Jika kita mengambil 2,2 μs (waktu yang tepat) sebagai Rata-rata umur hidup muon dan menganggap bahwa kecepatannya mendekati kecepatan cahaya, kita akan menemukan bahwa partikel-partikel ini bisa menempuh jarak sekitar 650 m sebelum mereka hancur. Oleh karena itu, mereka tidak bisa mencapai atmosfer bumi dari dari tempat mereka diproduksi. Namun, eksperimen menunjukkan bahwa sejumlah besar muon mencapai Bumi. Fenomena dilasi waktu menjelaskan efek ini (lihat Gambar. 3a). Sehubungan dengan pengamat di Bumi, muon memiliki masa hidup γτ dengan τ = 2,2 μs adalah umur hidup dalam kerangka acuan gerakan muon. Sebagai contoh, untuk v = 0.99c, γ = 7,1 dan γτ = 16 μs. Oleh karena itu, rata-rata jarak perjalanan yang diukur oleh pengamat di Bumi adalah v = 4700 m, seperti ditunjukkan dalam Gambar 3b.
Dilasi waktu
Check Also
Next Post

0Comments

Link copied successfully